A High-Performance Timing Analysis Tool for VLSI Systems
OpenTimer is a new static timing analysis (STA) tool to help IC designers quickly verify the circuit timing. It is developed completely from the ground up using C++17 to efficiently support parallel and incremental timing. Key features are:
- Industry standard format (.lib, .v, .spef, .sdc) support
- Graph- and path-based timing analysis
- Parallel incremental timing for fast timing closure
- Award-winning tools and golden timers in CAD Contests
The easiest way to start using OpenTimer is to use OpenTimer shell.
OpenTimer shell is a powerful tool for interactive analysis
and the simplest way to learn core functionalities.
Compile OpenTimer and launch the shell program ot-shell
under the bin directory.
~$ ./bin/ot-shell
____ _______
/ __ \___ ___ ___/_ __(_)_ _ ___ ____
/ /_/ / _ \/ -_) _ \/ / / / ' \/ -_) __/
\____/ .__/\__/_//_/_/ /_/_/_/_/\__/_/ v2
/_/
MIT License: type "license" to see more details.
For help, type "help".
For bug reports, issues, and manual, please see:
<https://github.com/OpenTimer/OpenTimer>.
ot> We have provided a simple design which consists of five gates (one NAND, one NOR, two INV, one FF) and one clock. Move to the folder and read this simple design.
ot> cd example/simple
ot> read_celllib osu018_stdcells.lib
ot> read_verilog simple.v
ot> read_sdc simple.sdcReport the timing to show the most critical path.
ot> report_timing # report the most critical path
Startpoint : inp1
Endpoint : f1:D
Analysis type : min
------------------------------------------------------
Type Delay Time Dir Description
------------------------------------------------------
port 0.000 0.000 fall inp1
pin 0.000 0.000 fall u1:A (NAND2X1)
pin 2.786 2.786 rise u1:Y (NAND2X1)
pin 0.000 2.786 rise u4:A (NOR2X1)
pin 0.181 2.967 fall u4:Y (NOR2X1)
pin 0.000 2.967 fall f1:D (DFFNEGX1)
arrival 2.967 data arrival time
related pin 25.000 25.000 fall f1:CLK (DFFNEGX1)
constraint 1.518 26.518 library hold_falling
required 26.518 data required time
------------------------------------------------------
slack -23.551 VIOLATED
The critical path originates from the primary input inp1 and
feed into the data pin f1:D of the flip-flop DFFNEGX1.
OpenTimer is very self-contained and has very few dependencies. To compile OpenTimer, you need a C++17 compiler. We currently support:
- GNU C++ Compiler v7.3 with -std=c++1z
- Clang C++ Compiler v6.0 with -std=c++17
In addition, you need a tcl shell interpreter:
- tclsh (most Unix/Linux/OSX distributions already include tclsh)
OpenTimer has been tested to run well on Linux distributions and MAC OSX.
We use CMake to manage the source and tests. We recommend using out-of-source build.
~$ git clone https://github.com/OpenTimer/OpenTimer.git
~$ cd OpenTimer
~$ mkdir build
~$ cd build
~$ cmake ../
~$ make After successful build, you can find binaries and libraries in the folders bin
and lib, respectively.
OpenTimer uses Doctest for unit tests and TAU15 benchmarks for integration/regression tests. These benchmarks are generated by an industry standard timer and are being used by many EDA researchers.
~$ make testOpenTimer has a unique software architecture to efficiently enable parallel incremental timing. We draw two levers on performance and useability by grouping each timing operation to one of the three categories, builder, action, and accessor.
| Type | Description | Example | Time Complexity |
|---|---|---|---|
| Builder | create lazy tasks to build an analysis framework | read_celllib, insert_gate, set_slew | O(1) |
| Action | carry out builder operations to update the timing | update_timing, report_timing, report_slack | Algorithm-dependent |
| Accessors | inspect the timer without changing any internal data structures | dump_timer, dump_slack, dump_net_load | Operation-dependent |
OpenTimer maintains a lineage graph of builder operations to create a task execution plan (TEP). A TEP starts with no dependency and keeps adding tasks to the lineage graph every time you call a builder operation. It records what transformations need to be executed when an action has been called.
The above figure shows an example lineage graph of a sequence of builder operations. The cyan path is the main lineage line with additional tasks attached to enable parallel execution. OpenTimer use Cpp-Taskflow to create dependency graphs.
A TEP is materialized and executed when the timer is requested to perform an action operation. Each action operation triggers timing update from the earliest task to the one that produces the result of the action call. Internally, OpenTimer creates task dependency graph to update timing in parallel, including forward (slew, arrival time) and backward (required arrival time) propagations.
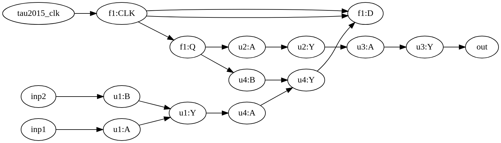
The figure above shows the dependency graph (forward in white, backward in cyan) to update the timing of the simple design. When an action call finishes, it cleans out the lineage graph with all timing up-to-date.
The accessor operations let you inspect the timer status and dump timing information. All accessor operations are declared as const methods in the timer class. Calling them promises not to alter any internal members. For example, you can dump the timing graph into a DOT format and use tools like GraphViz for visualization.
ot> dump_graph
digraph TimingGraph {
"inp1";
... # skip for short
"f1:CLK" -> "f1:Q";
"u1:B" -> "u1:Y";
"u1:A" -> "u1:Y";
}OpenTimer shell is a powerful command line tool to perform interactive analysis.
It is also the easiest way to get your first timing report off the ground.
The program ot-shell can be found in the folder bin/ after you
Compile OpenTimer.
The table below shows a list of commonly used commands.
| Command | type | Arguments | Description | Example |
|---|---|---|---|---|
| read_celllib | builder | [-min | -max] file | read the cell library for early and late splits | read_celllib mylib.lib |
| read_verilog | builder | file | read the verilog netlist | read_verilog mynetlist.v |
| read_spef | builder | file | read parasitics in SPEF | read_spef myparasitics.spef |
| read_sdc | builder | file | read a Synopsys Design Constraint file | read_sdc myrule.sdc |
| update_timing | action | none | update the timing | update_timing |
| report_timing | action | [-num_paths k] | report the critical paths | report_timing -num_paths 10 |
| report_tns | action | none | report the total negative slack | report_tns |
| report_wns | action | none | report the worst negative slack | report_wns |
| dump_graph | accessor | [-o file] | dump the timing graph to a DOT format | dump_graph |
| dump_timer | accessor | [-o file] | dump the design statistics | dump_timer |
To see the full command list, visit OpenTimer Wiki.
There are a number of ways to develop your project on top of OpenTimer.
The easiest way to build an OpenTimer application is to include it as a subproject using CMake add_subdirectory. Copy OpenTimer to your project root directory and configure your CMakeLists as follows:
cmake_minimum_required (VERSION 3.9) # CMake minimum version
project(app) # your OpenTimer application
add_subdirectory(OpenTimer) # add OpenTimer project
include_directories(${PROJECT_SOURCE_DIR}/OpenTimer) # add OpenTimer include
set(CMAKE_CXX_STANDARD 17) # enable c++17
set(CMAKE_CXX_STANDARD_REQUIRED ON)
find_package(Threads REQUIRED) # thread library (pthread)
add_executable(app app.cpp) # link to your app.cpp
target_link_libraries(app OpenTimer Threads::Threads stdc++fs)Our project CMakeLists.txt has defined the required files
to install when you hit make install.
The installation paths are <prefix>/include, <prefix>/lib, and <prefix>/bin
for the hpp files, library, and executable where <prefix> can be configured
through the cmake variable CMAKE_INSTALL_PREFIX.
The following example installs OpenTimer to /tmp.
~$ cd build/
~$ cmake ../ -DCMAKE_INSTALL_PREFIX=/tmp
~$ make
~$ make install
~$ cd /tmp # install OpenTimer to /tmp
~$ ls
bin/ include/ lib/ # OpenTimer headers, libraries, and binariesTo build your application on top of the OpenTimer headers and library,
you need -std=c++1z and -lstdc++fs flags
to enable C++17 standard and filesystem libraries.
~$ g++ app.cpp -std=c++1z -O2 -I include -L lib -lOpenTimer -lpthread -o app.out "-lstdc++fs "
~$ ./app.outThe class Timer is the main entry you need to call OpenTimer in your project. The table below summarizes a list of commonly used methods.
| Method | Type | Argument | Return | Description |
|---|---|---|---|---|
| read_celllib | builder | path, split | self | read the cell library for early and late splits |
| read_verilog | builder | path | self | read a verilog netlist |
| read_spef | builder | path | self | read parasitics in SPEF |
| read_sdc | builder | path | self | read a Synopsys Design Constraint file |
| update_timing | action | void | void | update the timing; all timing values are up-to-date upon return |
| tns | action | void | optional of float | update the timing and return the total negative slack if exists |
| wns | action | void | optional of float | update the timing and return the worst negative slack if exists |
| dump_graph | accessor | ostream | void | dump the timing graph in DOT format to an output stream |
| dump_timer | accessor | ostream | void | dump the design statistics to an output stream |
All public methods are thread-safe as a result of OpenTimer lineage. The example below shows an OpenTimer application and the use of builder, action, and accessor API.
#include <ot/timer/timer.hpp> // top-level header to include
int main(int argc, char *argv[]) {
ot::Timer timer; // create a timer instance (thread-safe)
timer.read_celllib("simple.lib", std::nullopt) // read the library (O(1) builder)
.read_verilog("simple.v") // read the verilog netlist (O(1) builder)
.read_spef("simple.spef") // read the parasitics (O(1) builder)
.read_sdc("simple.sdc") // read the design constraints (O(1) builder)
.update_timing(); // update timing (O(1) builder)
if(auto tns = timer.report_tns(); tns) std::cout << "TNS: " << *tns << '\n'; // (O(N) action)
if(auto wns = timer.report_wns(); wns) std::cout << "WNS: " << *wns << '\n'; // (O(N) action)
timer.dump_timer(std::cout); // dump the timer details (O(1) accessor)
return 0;
}To see the full API list, visit OpenTimer Wiki.
The folder example contains several examples and is a great place to learn how to use OpenTimer.
| Example | Description | Library |
|---|---|---|
| simple | A timing report example on a sequential circuit design. | OSU Free PDK 45nm |
| incremental | An incremental timing example to create a sequential design from the ground up using OpenTimer's C++ API | OSU Free PDK 45nm |
| unit | A dimensional analysis example with different time unit conversions. | OSU Free PDK 45nm |
| sizer | A gate-sizing example on a design with six NAND2 cells. | NanGate 45nm Open Cell Library |
| optimizer | A timing-driven optimization example plus incremental timing update. | TAU15 contest library |
The folder benchmark contains more designs and they are mainly used for internal regression and integration tests.
OpenTimer is an award-winning tools. It won ACM TAU Timing Analysis Contests multiple times (1st Place in 2014, 2nd Place in 2015, and 1st Place in 2016), the Special Price in the 2016 LibreCores Design Contest, and the Best Tool Winner in the 2018 WOSET at ICCAD. Many industry and academic people are using OpenTimer in their projects:
- Golden Timer, 2019 ACM TAU Timing Analysis Contest on Timing-driven Optimization
- Golden Timer, 2018 ACM TAU Timing Analysis Contest on Timing Reports from an STA Graph
- Golden Timer, 2017 ACM TAU Timing Analysis Contest on Micro Modeling
- Golden Timer, 2016 ACM TAU Timing Analysis Contest on Micro Modeling
- Golden Timer, 2015 ACM/IEEE ICCAD Incremental Timing-driven Placement Contest
- VSD: VLSI System Design Corporation
- OpenDesign Flow Database: the infrastructure for VLSI design and design automation research
- CloudV: a cloud-based platform to design and test chips for free
- LGraph: live graph infrastructure for synthesis and simulation
- Qflow: a digital synthesis flow using open-source EDA tools
- Ophidian: an open-source library for physical design research and teaching
![]() |
![]() |
![]() |
![]() |
![]() |
![]() |
![]() |
![]() |
![]() |
![]() |
|---|
Please don't hesitate to let me know if I forgot your project!
- Report bugs/issues by submitting a Github issue.
- Submit contributions using pull requests.
- See documentation and manual in OpenTimer Wiki.
- Stay tuned with our project progress.
- Read and cite our ICCAD and TCAD papers.
OpenTimer is being actively developed and contributed by the following people:
- Tsung-Wei Huang created the OpenTimer project is now the chief architect.
- Martin Wong supported the OpenTimer project through NSF and DARPA funding.
- Andreas Olofsson supported the OpenTimer project through the DARPA IDEA project.
- Chun-Xun Lin implemented the prompt interface of OpenTimer shell.
- Kunal Ghosh provided a list of practical features to include in OpenTimer.
- Pei-Yu Lee provided useful incremental timing discussion and helped fix bugs.
- Tin-Yin Lai discussed micro modeling algorithms and helped fix bugs.
- Jin Hu helped define the timing API and produced the golden benchmarks for integration tests.
- Myung-Chul Kim helped test OpenTimer through ICCAD CAD contest.
- George Chen helped defined path report formats and test OpenTimer through TAU contest.
- Jignesh Shah contributed to the area and power report commands.
- Pao-I Chen helped design the logo of OpenTimer.
- Leslie Hwang reviewed the documentation and README.
- Song Chen shared his opinion about command designs to avoid naming conflicts and litigation.
Meanwhile, we appreciate the support from many organizations for our development of OpenTimer. Please don't hesitate to let me know if I forgot you!
![]() |
![]() |
![]() |
![]() |
![]() |
|---|
OpenTimer is licensed under the MIT License:
Copyright © 2018 Dr. Tsung-Wei Huang and Dr. Martin Wong
The University of Illinois at Urbana-Champaign, IL, USA
Permission is hereby granted, free of charge, to any person obtaining a copy of this software and associated documentation files (the “Software”), to deal in the Software without restriction, including without limitation the rights to use, copy, modify, merge, publish, distribute, sublicense, and/or sell copies of the Software, and to permit persons to whom the Software is furnished to do so, subject to the following conditions:
The above copyright notice and this permission notice shall be included in all copies or substantial portions of the Software.
THE SOFTWARE IS PROVIDED “AS IS”, WITHOUT WARRANTY OF ANY KIND, EXPRESS OR IMPLIED, INCLUDING BUT NOT LIMITED TO THE WARRANTIES OF MERCHANTABILITY, FITNESS FOR A PARTICULAR PURPOSE AND NONINFRINGEMENT. IN NO EVENT SHALL THE AUTHORS OR COPYRIGHT HOLDERS BE LIABLE FOR ANY CLAIM, DAMAGES OR OTHER LIABILITY, WHETHER IN AN ACTION OF CONTRACT, TORT OR OTHERWISE, ARISING FROM, OUT OF OR IN CONNECTION WITH THE SOFTWARE OR THE USE OR OTHER DEALINGS IN THE SOFTWARE.
The core of OpenTimer is under MIT license. However, it is built, tested, and documented using several third-party tools and services. Thanks a lot!
- units: a compile-time header-only dimensional analysis and unit conversion
- Parser-SPEF: a fast C++ header-only parser for standard parasitic exchange format (SPEF)
- PEGTL: parsing expression grammar template library
- Cpp-Taskflow: fast C++ parallel programming with task dependencies
- NanGate 45nm Library: open-source standard-cell library for testing and exploring EDA flows
- OSU PDK: Oklahoma State University system on chip (SoC) design flows
- Synopsys TAP-in: Synopsys technology access program for liberty user guide and open-source SDC parser.
You can find a copy of these licenses under the folder licenses.




















